2.1 TB incidence
In the late 1800s, tuberculosis (TB) was one of the leading causes of ill health and death in most of the world. With social and economic development – such as improvements in hygiene, incomes, housing and nutrition – numbers of TB cases and deaths started to decline in western Europe, North America and other parts of the industrialized world around the turn of the 20th century. From the 1940s, the discovery, development and use of effective drug treatments substantially accelerated these trends, with national case rates (per person) falling by up to 10% per year and mortality rates falling even faster. Countries that have experienced such reductions in TB disease burden now have only about 10 or fewer cases and less than 1 death per 100 000 population per year.
Globally and in many countries, however, TB remains a major cause of ill-health and mortality.
Global targets and milestones for reductions in the burden of TB disease (defined in terms of TB incidence and the number of TB deaths) have been agreed by all Member States of the World Health Organization (WHO) and United Nations (UN), through their adoption of the WHO End TB Strategy (2016–2035) at the World Health Assembly in 2014 and the Sustainable Development Goals (SDGs) at the UN General Assembly in 2015.
For TB incidence, the first milestone of the End TB Strategy is a 20% reduction in the TB incidence rate (the number of new and relapse cases per 100 000 population per year) by 2020 compared with 2015. The next 2025 milestone is a 50% reduction compared with 2015, followed by targets for reductions of 80% by 2030 and 90% by 2035. SDG 3 includes a target to end the global TB epidemic by 2030, with TB incidence per 100 000 population per year defined as the indicator for measuring progress.
Reaching the milestones and targets required an annual decline in the TB incidence rate of 4–5% per year by 2020, accelerating to 10% per year by 2025 and then to an average of 17% per year from 2025 to 2035. When the milestones and targets were established, key requirements to reach them were identified; they included provision of TB prevention, diagnostic and treatment services within the context of progress towards universal health coverage (UHC), multisectoral actions to address broader social and economic determinants of TB and technological breakthroughs (such as a new vaccine by 2025)(1, 2).
Estimates of TB incidence in 2020 should be regarded as provisional (Box 2.1.1). As in recent years, they suggest that a global total of about 10 million people fell ill with TB in 2020, with a best estimate of 9.9 million (95% uncertainty interval [UI]: 8.9–11 million), equivalent to 127 cases ([UI]: 114–140) per 100 000 population (Table 2.1.1). The annual rates of decline in both figures slowed compared with the previous year (1.9% for the incidence rate and 0.87% for the absolute number of cases between 2019 and 2020, compared with 2.3% and 1.2% respectively between 2018 and 2019), but continued the downward trends that have been evident since 2000 (Fig. 2.1.1). The cumulative reduction in TB incidence per 100 000 population from 2015 to 2020 was 11%, only just over half-way to the 2020 milestone of the End TB Strategy (right panel of Fig. 2.1.1).
The impact on TB incidence of shortfalls in TB case detection that resulted from disruptions caused by the COVID-19 pandemic was limited in 2020, especially compared with the impact on TB deaths (Section 2.2). There are two main reasons for the more delayed impact on TB incidence compared with TB deaths. The first is that disruptions to diagnostic and treatment services affect those who already have TB disease first, resulting in an increase in the number of deaths. The second is that the impact on incidence of the increased pool of prevalent cases that develops as more people with TB are not diagnosed and treated is slow, due to the relatively long period of time between the acquisition of infection and the development of disease (which ranges from weeks to decades). However, projections of TB incidence that account for the impact of the COVID-19 pandemic in 16 priority countries with 71% of global TB incidence in 2020 suggest that TB incidence could increase globally in 2022 and 2023 (Section 1).
More positively, the WHO European Region reached the 2020 milestone, with a reduction of 25% between 2015 and 2020, and the WHO African Region came very close, with a reduction of 19% (Fig. 2.1.2). The decline in the TB incidence rate in the WHO European Region was driven by the Russian Federation, where the rate fell 6.0% per year between 2010 and 2020. In the WHO African Region, several countries in southern Africa achieved impressive reductions of 4–10% per year, following a peak in the HIV epidemic and the expansion of TB and HIV prevention and care. Coverage of antiretroviral treatment (ART) increased from an estimated 24% of people living with HIV in 2010 to 51% in 2015 and 73% in 2020 (88% among notified cases of TB among people living with HIV).
Progress has been much slower in three other WHO regions (Fig. 2.1.2), with cumulative reductions of 4.9% in the Eastern Mediterranean Region, 11% in the South-East Asia Region and 6.7% in the Western Pacific Region for the period 2015–2020. Of concern is the WHO Region of the Americas, where incidence appears to be slowly increasing after many years of decline, owing to an upward trend in Brazil during 2016–2020.
Among the 30 high TB burden countries, six have reached the 2020 milestone: Ethiopia, Kenya, Myanmar, Namibia, South Africa and the United Republic of Tanzania (Fig. 2.1.3a). A total of 86 countries reached the 2020 milestone, including all three global TB watchlist countries (Cambodia, Russian Federation, Zimbabwe) (Fig. 2.1.3b).
Geographically, in 2020, most TB cases were in the WHO regions of South-East Asia (43%), Africa (25%) and the Western Pacific (18%), with smaller shares in the Eastern Mediterranean (8.3%), the Americas (3.0%) and Europe (2.3%). The 30 high TB burden countries (shown in Fig. 2.1.3a) accounted for 86% of all estimated incident cases worldwide, and eight of these countries (Fig. 2.1.4) accounted for two thirds of the global total: India (26%), China (8.5%), Indonesia (8.4%), the Philippines (6.0%), Pakistan (5.8%), Nigeria (4.6%), Bangladesh (3.6%) and South Africa (3.3%).
The severity of national TB epidemics, in terms of the number of incident TB cases per 100 000 population per year, varies widely among countries (Fig. 2.1.5). In 2020, 57 countries had a low incidence of TB (<10 cases per 100 000 population per year), mostly in the WHO Region of the Americas and WHO European Region, plus a few countries in the WHO Eastern Mediterranean and Western Pacific regions. There were 150‒400 cases per 100 000 population in most of the 30 high TB burden countries, and more than 500 cases per 100 000 population in the Central African Republic, the Democratic People’s Republic of Korea, Gabon, Lesotho, Philippines and South Africa.
Among all TB cases, 8.0% were among people living with HIV (Table 2.1.1). The proportion of TB cases coinfected with HIV was highest in countries in the WHO African Region, exceeding 50% in parts of southern Africa (Fig. 2.1.6).
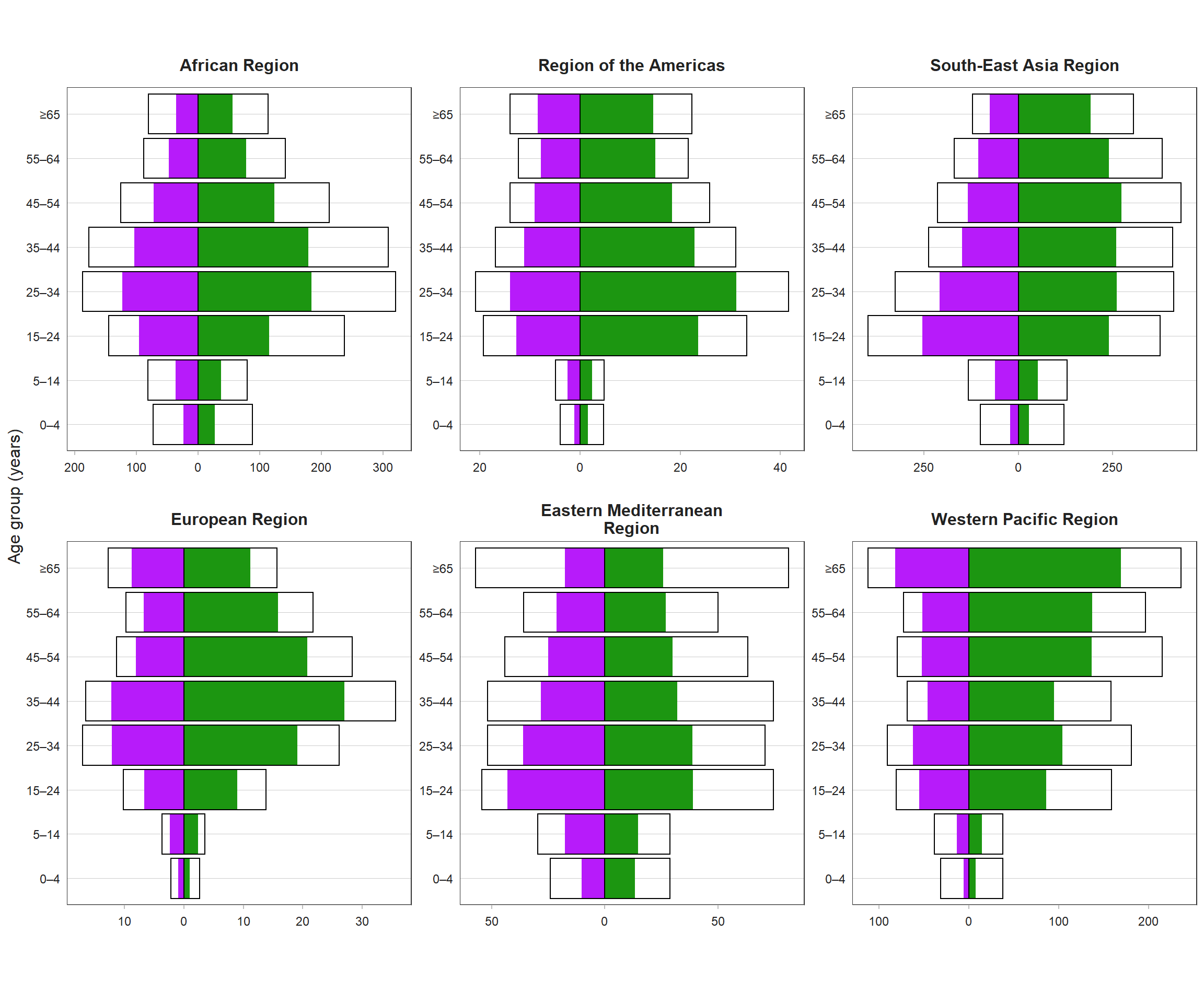
TB affects people of both sexes and all age groups (Fig. 2.1.7). The highest burden is in adult men, who accounted for 56% of all TB cases in 2020; by comparison, adult women accounted for 33% and children for 11%. The higher share of TB cases among men is consistent with evidence from prevalence surveys, which show that TB disease affects men more than women, and that gaps in case detection and reporting are higher among men (Section 2.3).
Further country-specific details about estimates of the number of incident TB cases and TB incidence rates are available in the Global tuberculosis report app and online country profiles.
Box 2.1.1
Methods used by WHO to estimate TB incidence
The main methods used by WHO to estimate TB incidence at country level in the period 2000–2019 and for 2020 specifically are shown in Fig. 2.1.8a and Fig. 2.1.8b. These methods adhere to global guidelines for accurate and transparent reporting of health estimates (3) and are described in detail in a technical annex. Methods used by WHO to estimate TB incidence for 2000–2019 included:
- results from TB prevalence surveys combined with estimates of the duration of disease, used for 29 countries with about two-thirds of the global number of incident TB cases in 2019;
- notifications adjusted by a standard factor to account for underreporting, overdiagnosis and underdiagnosis, used for 139 countries (including most high-income countries and selected middle-income countries) with about 6.1% of the global number of incident TB cases in 2019;
- results from national inventory studies that measured the level of underreporting of detected TB cases, used for eight countries with about 17% of the global number of incident TB cases in 2019; and
- case notification data combined with expert opinion about case-detection gaps, used for 39 countries with 11% of the global number of incident TB cases in 2019.
To estimate TB incidence in 2020, new methods were required. Dynamic models of TB transmission were used for 16 priority countries, informed by monthly and quarterly notification data reported for 2020. A statistical model was developed to extend estimates to 111 low and middle-income countries. Notification data with a standard adjustment were used for high-income countries. Estimates for 2020 should be considered provisional; underlying data and methods will be further extended and refined in 2021 and 2022.
Table 2.1.1 Global and regional estimates of TB incidence, numbers (in thousands) and rates (per 100 000 population) in 2020
Low and high are the 5th and 95th percentiles of the uncertainty interval (UI).
| Region or country group | Population | Best estimate | Low | High | Best estimate | Low | High | Best estimate | Low | High | Best estimate | Low | High |
|---|---|---|---|---|---|---|---|---|---|---|---|---|---|
| African Region | 1 120 000 | 2 460 | 2 190 | 2 750 | 579 | 497 | 668 | 220 | 195 | 245 | 24 | 19 | 28 |
| Region of the Americas | 1 020 000 | 291 | 270 | 314 | 29 | 26 | 31 | 29 | 26 | 31 | 9.9 | 8.8 | 11 |
| South-East Asia Region | 2 020 000 | 4 270 | 3 420 | 5 210 | 98 | 77 | 122 | 112 | 89 | 138 | 1.9 | 1.3 | 2.8 |
| European Region | 933 000 | 231 | 201 | 264 | 29 | 22 | 36 | 25 | 22 | 28 | 12 | 9.2 | 16 |
| Eastern Mediterranean Region | 731 000 | 821 | 649 | 1 010 | 16 | 11 | 21 | 211 | 169 | 258 | 2.3 | 1.7 | 3.1 |
| Western Pacific Region | 1 940 000 | 1 800 | 1 480 | 2 140 | 37 | 28 | 47 | 93 | 76 | 110 | 2.1 | 1.5 | 2.7 |
| High TB burden countries | 4 800 000 | 8 500 | 7 520 | 9 540 | 649 | 563 | 740 | 177 | 157 | 199 | 7.7 | 6.3 | 9.1 |
| Global | 7 770 000 | 9 870 | 8 880 | 10 900 | 787 | 701 | 879 | 127 | 114 | 140 | 8.0 | 6.8 | 9.3 |
Fig. 2.1.1 Global trends in the estimated number of incident TB cases (left) and the incidence rate (right), 2000–2020
Shaded areas represent uncertainty intervals. The horizontal dashed line shows the 2020 milestone of the End TB Strategy.

Fig. 2.1.2 Trends in estimated TB incidence rates by WHO region, 2000–2020
Total TB incidence rates are shown in blue and incidence rates of HIV-positive TB are shown in light blue. The black solid lines show notifications of new and relapse cases for comparison with estimates of the total incidence rate. Shaded areas represent uncertainty intervals. The horizontal dashed line shows the 2020 milestone of the End TB Strategy.

Fig. 2.1.3a Trends in estimated TB incidence rates in the 30 high TB burden countries compared with notifications of new and relapse cases, 2000–2020
TB incidence rates are shown in blue. The black solid lines show notifications of new and relapse cases for comparison with estimates of the total incidence rate. Shaded areas represent uncertainty intervals. The horizontal dashed line shows the 2020 milestone of the End TB Strategy.

Fig. 2.1.3b Trends in estimated TB incidence rates in the 3 global TB watchlist countries compared with notifications of new and relapse cases, 2000–2020
TB incidence rates are shown in blue. The black solid lines show notifications of new and relapse cases for comparison with estimates of the total incidence rate. Shaded areas represent uncertainty intervals. The horizontal dashed line shows the 2020 milestone of the End TB Strategy.

Fig. 2.1.4 Estimated TB incidence in 2020, for countries with at least 100 000 incident cases
The eight countries that rank first to eighth in terms of numbers of cases, and that accounted for two thirds of global cases in 2020, are labelled.

Fig. 2.1.5 Estimated TB incidence rates, 2020

Fig. 2.1.6 Estimated HIV prevalence in new and relapse TB cases, 2020

Fig. 2.1.7a Global estimates of TB incidence (black outline) and case notifications of people newly diagnosed with TB disaggregated by age and sex (female in purple; male in green), 2020

Fig. 2.1.7b Regional estimates of TB incidence (black outline, in thousand) and case notifications (in thousand) of people newly diagnosed with TB disaggregated by age and sex (female in purple; male in green), 2020

Fig. 2.1.8a Main methods used to estimate TB incidence up to 2019

Fig. 2.1.8b Main methods used to estimate TB incidence in 2020

References
- Floyd K, Glaziou P, Houben R, Sumner T, White RG, Raviglione M. Global tuberculosis targets and milestones set for 2016–2035: definition and rationale. Int J Tuberc Lung Dis. 2018;22(7):723–30 (https://www.ncbi.nlm.nih.gov/pmc/articles/PMC6005124/).
- World Health Organization. Resolution WHA67.1. Global strategy and targets for tuberculosis prevention, care and control after 2015. Geneva: World Health Organization; 2014 ( http://apps.who.int/gb/ebwha/pdf_files/WHA67/A67_R1-en.pdf).
- Guidelines for Accurate and Transparent Health Estimates Reporting (GATHER) [website] (http://gather-statement.org/).